Skip to content Skip to sidebar Skip to footer

Widget HTML #1

How To Find Normal Line From Tangent Line : In the process we will also take a look at a normal line to a surface.

How To Find Normal Line From Tangent Line : In the process we will also take a look at a normal line to a surface.. This calculus video tutorial shows you how to find the slope and the equation of the tangent line and normal line to the curve / function at a given point. Learn how to use the derivative to find the equation of a normal line. Having a graph is helpful when trying to visualize the tangent line. Let f(x, y, z) define a surface that is differentiable at a point (x0, y0, z0), then the normal line to f(x, y, z) at (x0, y0, z0) is the line with normal vector ∇f(x0, y0, z0). In particular the equation of the normal line is

A normal line, is a straight line that is perpendicular to the tangent line, meaning at a right angle. For vector function ~x(t), the tangent line is: The normal line is the line that is perpendicular to the the tangent line. In this section we want to look at an application of derivatives for vector functions. Learn how to use the derivative to find the equation of a normal line.

How To Find The Equation Of A Tangent Line 8 Steps
How To Find The Equation Of A Tangent Line 8 Steps from www.wikihow.com
Actually, there are a couple of applications, but they all come back to needing the first one. The normal line to a horizon. Learn how to use the derivative to find the equation of a normal line. Example12.7.21using the gradient to find a tangent plane. Let's first recall the equation of a plane that contains the point (x0,y0,z0) ( x 0, y 0, z 0) with normal vector →n = a,b,c n → = a, b, c is given by. This calculus video tutorial shows you how to find and write the equation of the horizontal tangent line and normal line and point slope form and slope inter. Find the equation of the line tangent to f (x)=x2at x =2. For vector function ~x(t), the tangent line is:

The line through that same point that is perpendicular to the tangent line is called a normal line.

As a consequence, the normal line touches or passes through the center of the circle. Example12.7.21using the gradient to find a tangent plane. A normal at a degree on the curve may be a line that intersects the curve and is perpendicular to the tangent. Therefore, consider the following graph of the problem: Recall that when two lines are perpendicular, their slopes are negative reciprocals. The normal vector of this line is (f0(x 0); In particular the equation of the normal line is This is the slope of the tangent line, which we'll call m m m. We extend the concept of normal, or orthogonal, to functions of two variables. How to find the equation of a tangent & a normal a tangent to a curve as well as a normal to a curve are both lines. That passes through the point (x0, y0, z0). Take the derivative of the original function, and evaluate it at the given point. So the question of finding the tangent and normal lines at various points of the graph of a function is just a combination of the two processes:

So the slope of each normal line is the opposite reciprocal of the slope of the corresponding tangent — which, of course, is given by the derivative. Therefore, consider the following graph of the problem: The normal line is defined as the line that is perpendicular to the tangent line at the point of tangency. The normal vector of this line is (f0(x 0); You follow the same steps as with the tangent line, but you use the slope that will give you a perpendicular line.

Tangent Line And Normal Line Tangent Slope
Tangent Line And Normal Line Tangent Slope from imgv2-2-f.scribdassets.com
So the slope of each normal line is the opposite reciprocal of the slope of the corresponding tangent — which, of course, is given by the derivative. Each normal line in the figure is perpendicular to the tangent line drawn at the point where the normal meets the curve. You follow the same steps as with the tangent line, but you use the slope that will give you a perpendicular line. The normal line is defined as the line that is perpendicular to the tangent line at the point of tangency. About press copyright contact us creators advertise developers terms privacy policy & safety how youtube works test new features press copyright contact us creators. We extend the concept of normal, or orthogonal, to functions of two variables. In this section we want to look at an application of derivatives for vector functions. How to find the equation of a tangent & a normal a tangent to a curve as well as a normal to a curve are both lines.

Recall that when two lines are perpendicular, their slopes are negative reciprocals.

In this section we want to revisit tangent planes only this time we'll look at them in light of the gradient vector. A normal line is simply the line perpendicular to the tangent line at the same point. Actually, there are a couple of applications, but they all come back to needing the first one. For vector function ~x(t), the tangent line is: So the question of finding the tangent and normal lines at various points of the graph of a function is just a combination of the two processes: This is the slope of the tangent line, which we'll call m m m. In the past we've used the fact that the derivative of a function was the slope of the tangent line. The normal line to a horizon. Since the slope of the tangent line is m = f ′ (x), the slope of the normal line is m = − 1 f There is an important rule that you must keep in mind: Each normal line in the figure is perpendicular to the tangent line drawn at the point where the normal meets the curve. In this section we want to look at an application of derivatives for vector functions. This calculus video tutorial shows you how to find the slope and the equation of the tangent line and normal line to the curve / function at a given point.

So the question of finding the tangent and normal lines at various points of the graph of a function is just a combination of the two processes: That passes through the point (x0, y0, z0). For vector function ~x(t), the tangent line is: This is the slope of the tangent line, which we'll call m m m. Since the normal line and tangent line are perpendicular their slopes are opposite reciprocals.

What Is The Equation Of The Line Normal To The Tangent At The Point 4 0 On The Curve X 2 16y 32 4x Y 2 Quora
What Is The Equation Of The Line Normal To The Tangent At The Point 4 0 On The Curve X 2 16y 32 4x Y 2 Quora from qph.fs.quoracdn.net
Sometimes, instead of finding the equation of a tangent line, you will be asked to find the equation of a normal line. The normal line is the line that is perpendicular to the the tangent line. In this situation, your tangent line is horizontal and therefore the normal line must be a vertical line since it has to be perpendicular to your tangent line. The normal line is defined as the line that is perpendicular to the tangent line at the point of tangency. Let f(x, y, z) define a surface that is differentiable at a point (x0, y0, z0), then the normal line to f(x, y, z) at (x0, y0, z0) is the line with normal vector ∇f(x0, y0, z0). Check your answer by confirming the equation on your graph. We can talk about the tangent plane of the graph, the normal line of the tangent plane(or the graph), the tangent line of the level curve, the normal line of the level. Recall that when two lines are perpendicular, their slopes are negative reciprocals.

About press copyright contact us creators advertise developers terms privacy policy & safety how youtube works test new features press copyright contact us creators.

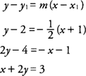
So the question of finding the tangent and normal lines at various points of the graph of a function is just a combination of the two processes: The given equation is y = 5 6 x −9 the slope is 5 6 so the slope of the normal is − 6 5. Let f(x, y, z) define a surface that is differentiable at a point (x0, y0, z0), then the normal line to f(x, y, z) at (x0, y0, z0) is the line with normal vector ∇f(x0, y0, z0). Recall that the normal line must be perpendicular to the tangent line and they both meet at the point of your curve (namely where x = 3 in this particular case). In the past we've used the fact that the derivative of a function was the slope of the tangent line. Sometimes, instead of finding the equation of a tangent line, you will be asked to find the equation of a normal line. In the process we will also take a look at a normal line to a surface. About press copyright contact us creators advertise developers terms privacy policy & safety how youtube works test new features press copyright contact us creators. This direction can be used to find tangent planes and normal lines. We can talk about the tangent plane of the graph, the normal line of the tangent plane(or the graph), the tangent line of the level curve, the normal line of the level. As they are straight lines perpendicular to each other at an angle of 90° , the gradient of the tangent to a circle and the normal line multiplied together. A normal line, is a straight line that is perpendicular to the tangent line, meaning at a right angle. Having a graph is helpful when trying to visualize the tangent line.

Tangent, normal and binormal vectors how to find line tangent. Find the equation of the line tangent to f (x)=x2at x =2.